Como (dudas) al resolver integral definida arctg

Intente resolver un ejercicio el cual le había formulado alguna pregunta anteriormente...
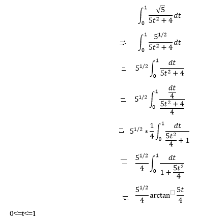
Solo que tenia tiempo que no veía una de estas integrales. Agradecería correcciones en cuanto a lo que he acotado. Gracias, saludos
1 respuesta
Respuesta de Valero Angel Serrano Mercadal
1