adriana munevar

adriana munevar

 Colombia @adrianamunevar desde - visto
Preguntar

Actividad pública reciente

Ha preguntado en el tema en y en 4 temas más

Relaciones de equivalencia para lo siguiente

Encuentre si la relación es una relación de equivalencia. {(1,1,),(2,2),(3,3),(4,4),(5,5),(1,3),(3,1)}.{(x,y)|2 divide a x+y}.{(1,1),(2,2),(3,3),(4,4),(5,5),(5,1),(3,5),(5,3),1,3),(2,1)}{(x,y)| 1≤x≤6˄1≤y≤6
Sin respuestas
Ha valorado "Buena" la respuesta

Ecuaciones diferenciales lineales en primer orden

respondió: La EDO es
Ha preguntado en el tema en y en 2 temas más

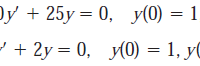
Ejercicios de ecuaciones diferenciales lineales

Resuelva el problema con valores en la frontera dado, por favor el punto dos lo necesito urgente, gracias
Ha preguntado en el tema en y en 1 temas más

Ecuaciones diferenciales lineales de orden superior

Un resorte de 4 pies mide 8 pies de largo después de colgarle una masa de 8 libras. El medio en el que se mueve la masa ofrece una fuerza de amortiguamiento igual a veces la velocidad instantánea. La masa se libera inicialmente desde la posición de...
Ha empezado a seguir a