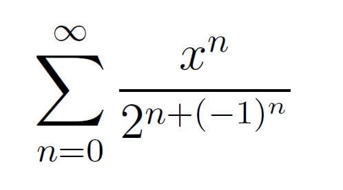
Radio de convergencia. Determine el radio de convergencia.
Por el criterio que acomode, ya sea por el criterio de la raíz o por el criterio del cociente, o cualquier metodología, determinar el radio de convergencia de la siguiente serie:

Puede ser también por DLembert, MacLaurin, etc.
1 Respuesta
Respuesta
2
