Física

4.132 seguidores
Preguntar

Preguntas esperando solución

Pregunta en de

¿Por que la mecánica clásica predecía que la energía con la que se emitían los electrones dependía de la intensidad de la luz?

En el efecto fotoeléctrico se descubrió que la energía de emisión de electrones dependía únicamente de la frecuencia de la luz, pero la mecánica clásica predecía que la emisión de los electrones dependía de la intensidad ¿En qué se basaba la mecánica...
Pregunta en de

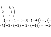
Como puedo resolver estos vectores

⦁ Dados los vectores U=(2,-3,1) y V=(-3,-2,-4). Calcular ⦁ V x U ⦁ U•V
Pregunta en y en 1 temas más de

Determine la fuerza que actúa sobre un vehículo que en 10 s/ cambia su velocidad de 25 m/s a 38.9 m/s , si se considera que su m

Porque necesito está pregunta para poder responder un resultado de evaluación
Pregunta en de

Taller de física me podrían

1. La frecuencia fundamental de un tubo abierto es 325 Hz; si la velocidad del sonido es 330 m/s, ¿Cuál es la longitud del tubo? 2. Determina la velocidad de una onda electromagnética de 3568 angstrom de longitud de onda y frecuencia 5x1014 Hz....
Pregunta en de

¿Cómo puedo resolver este ejercicio?

Dos condensadores de 0.3 y 0.5 uf se conectan en paralelo y se cargan con 200 uf a)hallar la capacidad y potencial del sistema b) hallar la carga de c/u de ellos
Sin respuestas
Pregunta en y en 4 temas más de

Cómo se explica el resultado de esta ecuación?

Tengo que : Sen60°= VL/2/Vf.... Sen60°= 0.86=√3/2 ... Entonces: √3/2= VL/2* Vf= VL=√3*Vf.. Lo que no entiendo es como la expresión VL/2/Vf....(voltaje de línea dividido 2... Y todo eso..., dividido voltaje de fase..., Pasó a convertirse en VL/2* Vf...
Sin respuestas
Pregunta en de

Se quiere colocar tres condensadores de 1µF, 31µF y 91µF, en un circuito en serie y en paralelo.

Se quiere colocar tres condensadores de 1µF, 31µF y 91µF, en un circuito en serie y en paralelo, Para saber cuál es el valor al reemplazarlos en uno solo. Me están enseñando usar la ley de coulomb, y hallar la constante Dieléctrica, pero no veo en...
Pregunta en y en 2 temas más de

El techo de una estación de metro tiene la forma elíptica tal y como se muestra en la figura

El techo de una estación de metro tiene la forma elíptica tal y como se muestra en la Figura Suponiendo las distancias y el sistema de referencia indicado, halla la ecuación de la elipse del techo y calcula las coordenadas de los focos.Suponiendo las...
Pregunta en de

¿En un reproductor de música al mover la perilla tone hacia la derecha estamos modificando?

LA AMPLITUD DE ONDALA LONGITUD DE ONDAla frecuencia de sonidoel timbre del sonido
Pregunta en y en 3 temas más de

) Cuando un sistema se lleva del estado a al b por la trayectoria acb (ver figura), 90,0 J de calor entran en el sistema y este

Un brazo humano se puede comparar con un péndulo físico, con un periodo de oscilación “natural”, para el cual caminar es más fácil. Considere el brazo como dos varillas unidas rígidamente entre sí en el codo; el eje para el brazo es la articulación...
Sin respuestas

Suscríbete RSS