Bachilleratos

1.620 seguidores
Preguntar
Pregunta en y en 1 temas más de

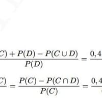
DUDA probabilidad segundo de bachillerato

No entiendo la resolución del apartado b de la foto adjuntada. Cómo se realiza la intersección si C=0'4, D=0'6 y la unión de C y D es de 0'8?
Pregunta en y en 2 temas más de

Ecuaciones generales y explicitas de lo lados y las diagonales del cuadrado de vértices A(-1,-1), B(4,-1), C(4,4), D(-1,4)

Encuentra las ecuaciones generales y explicitas de lo lados y las diagonales del cuadrado de vértices A(-1,-1), B(4,-1), C(4,4), D(-1,4) -1-Ecuación general y como he llegado hasta ella ( de cada lado) -2- Ecuación explicita y como he llegado hasta...

Como matemáticas ángulos y sus clasificación

Me ayudan por favor es para ahorita no le entiendo

Es una guia de estudio de matemáticas

Me ayudan por favor es para mañana Esta es una aparte Sean A y B dos ángulos conjugados, donde ?=12(?+3)°,?=4(?−6)°. Encuentra el valor de “x” esta es otra
Pregunta en y en 1 temas más de

Dado cosx = 0.4155, halla el resto de las funciones trigonométricas para el ángulo x. Necesito explicación paso a paso

Es trigonometría, espero puedan responder rápido es muy urgente y paso a paso
Pregunta en y en 3 temas más de

¿Alguien qué sepa explicarme cómo encontrar la área entre dos puntos siendo: g (x) = 2x² - x - 1, [2, 5], 6 rectángulos?

Utilice los puntos finales izquierdo y derecho y el número dado de rectángulos para encontrar dos aproximaciones del área de la región entre la gráfica de la función y el eje por en el intervalo dado. G (x) = 2x² - x - 1, [2, 5], 6 rectángulos
Pregunta en y en 2 temas más de

Tarea de geometría no entiendo

Esta es la tarea de geometría ayúdenme por favor o explíquenme como lo soluciono
Pregunta en y en 3 temas más de

¿Cuál es la respuesta correcta de los enunciados abc?

Álgebra lineal sistemas de ecuaciones: Si cambio entre sí los valores de las variables, el nuevo par de valores sigue siendo solución del sistema original. A. Siempre es solución B. Solo se verifica si las dos incógnitas valen lo mismo C. Nunca puede...
Pregunta en y en 1 temas más de

Cual es la suma de los ángulos interiores

B) Completa las siguientes afirmaciones a cerca de las propiedades de los triángulos. Para ello, apóyate del siguiente enlace: https://www.geogebra.org/m/sVeUttu9 a) La suma de los ángulos _interiores_______ de un triángulo es 180°.b) La suma de los...
Pregunta en y en 1 temas más de

Cuales son la longitud de los triángulos

De los recursos que se encuentran en la plataforma, realiza la lectura del tema rectas y puntos notables del triángulo. Después, mediante el enlace https://www.geogebra.org/m/eGjqZN5N, visualiza gráficamente los puntos y rectas notables de los...