Asignaturas Básicas

1.491 seguidores
Preguntar
Pregunta en y en 4 temas más de

Calculo Integral. Quien puede resolver problemas

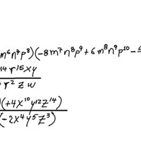
Resolver aplicando las propiedades básicas, las siguientes integrales:
Pregunta en y en 3 temas más de

¿Cómo puedo tener una información del modelo matemático de Holmberg?

Necesito información sobre el modelo matemático de Holmberg por favor si tuvieran información envíenme por favor, mi correo es [email protected]
Pregunta en y en 3 temas más de

Quien puede resolver problemas de álgebra lineal

Dibujar los vectores y calcular la magnitud y dirección.
Pregunta en y en 3 temas más de

¿Quién me podría decir como se resuelve una función explicita y una implícita? Por ejemplo f(X).=(X-Men3)2:determinaf(-1)

Dificil seme dificultan mucho las funciones por ejemplo f7xz)=x4+3x3-2x2+8x+12:determinaf(4)
Pregunta en y en 2 temas más de

Como se resuelven las ecuaciones cuadráticas

Me podrían decir como resolverlas y como sacar el valor de x1 y el valor de x2, por favor 1)25x^2-70x+49=0 2)81x^2-126x+49=0
Pregunta en y en 3 temas más de

Como es la solución de una derivada usando el TFC

¿ ¿Solución de una derivada de la función dada usando el TFC?
Pregunta en y en 2 temas más de

Como es la solución de un teorema fundamental de calculo

¿Usar el TFC para hallar la derivada de la siguiente función?
Pregunta en y en 2 temas más de

¿Problema de matemática aplicada en ejercicio?

Ando liado con ello. Problema 1 Un distribuidor de celulares sospecha que la proporción de usuarios del celular “Letne” es la misma en los conos norte y sur. Para probar su sospecha selecciona al azar muestra aleatorias de ambas zonas. En el cono...
Sin respuestas
Pregunta en y en 4 temas más de

Quien sabe de calculo integral

Encontrar la familia de anti derivadas de la función dada:
Pregunta en y en 2 temas más de

Es una tarea de matemáticas

Ejercicio: MATEMÁTICAS Realizar todo con todos los pasos. :
Sin respuestas