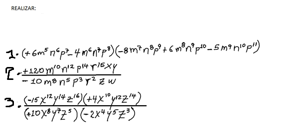
MatemáticasProfesoresAsignaturas Básicas Anónimo el 9 sep. 16 Es una tarea de matemáticas Ejercicio:MATEMÁTICASRealizar todo con todos los pasos. : Seguir Siguiendo Dejar de seguir