Álgebra

126 seguidores
Este tema está pendiente de aprobación
Preguntar

Preguntas esperando solución

Pregunta en y en 3 temas más de

Quien resuelve ejercicios de ecuaciones integrales con el método de Gauss-Jordan

Use el método Gauss-Jordan para resolver cada uno de los siguientes sistemas de ecuaciones lineales. Comprobar los resultados obtenidos de forma manual a través del programa Geogebra.
Sin respuestas
Pregunta en y en 2 temas más de

¿Cómo determinar Determinar el flujo de fluido a través de tuberías?

Me pueden ayudar a resolver este ejercicio, gracias...
Sin respuestas
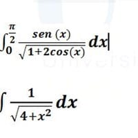
Pregunta en y en 2 temas más de

Como realizo la solución de las siguientes integrales.

Hola ami@s de todo expertos, Por favor me pueden ayudar con la solucion y explicacion de cada paso de estos ejercicios para entender mejor.
Sin respuestas
Pregunta en y en 1 temas más de

Problema de álgebra procedimiento (matemáticas)

Cuatro amigos representados por A, B, C y D se cooperaron para una obra de teatro. Ellos llevarán invitados según la información siguiente: B llevará la mitad de A y C llevará el triple que D. Los boletos tienen diferentes precios debido a las...
Pregunta en y en 3 temas más de

Problema de matematicas (algebra) Ayúda

Considera el huracán Odile que sucedió en septiembre de 2014 en el norte de nuestro país, a partir de la situación que se dio, los costos promedio para recuperar el estado de bienestar de la población fue el siguiente: Personas…$2,000 = p...
Sin respuestas
Pregunta en y en 1 temas más de

Cómo solucionar estos polinomios que indico

1- Indicar el grado absoluto del siguiente polinomio: F(x;y)= 2- hallar el GR(X) EN EL SIGUIENTE POLINOMIO DE 2006 TÉRMINOS
Sin respuestas

Problema 8. Verifique la siguiente identidad trigonométrica y compruebe con Geogebra:?(?)(?(?)?(?)+

Resolver Problema 8. Verifique la siguiente identidad trigonométrica y compruebe con Geogebra: ????(?)(?????(?)????(?)+????(?)∗?????(?)−(????(?)+????(?))+?????(?))=?????(?)????(?)
Sin respuestas
Pregunta en y en 3 temas más de

En una escuela se desea lleva a cabo un torneo deportivo que abarca tres especialidades:

Resuelve el siguiente problema por el método Gauss Jordán. En una escuela se desea lleva a cabo un torneo deportivo que abarca tres especialidades: Foot-ball, volleyball y basketball. Se cuenta con 155 alumnos, de los cuales 90 serán titulares y los...
Sin respuestas
Pregunta en y en 3 temas más de

Determinar el coeficiente de Fricción cinética

Me pueden ayudar con el siguiente ejercicio: Un disco de hockey sobre un lago se golpea y adquiere una velocidad inicial de 22.0 m/s. Si el disco siempre permanece sobre el hielo y se desliza 118 m antes de detenerse, determine el coeficiente de...
Sin respuestas
Pregunta en y en 2 temas más de

Como resolver y Explicar estos 2 ejercicios

¿Me podrían a apoyar en la solución de estos dos ejercicios? Y cuales son los pasos de su solución. Ejercicio 1: 9x^5/x^3= ejercicio 2: (3x^3)^-3

Suscríbete RSS