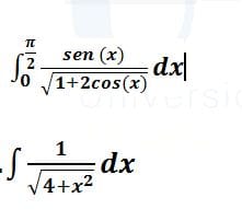
Como realizo la solución de las siguientes integrales.

Hola ami@s de todo expertos,
Por favor me pueden ayudar con la solucion y explicacion de cada paso de estos ejercicios para entender mejor.

Hola ami@s de todo expertos,
Por favor me pueden ayudar con la solucion y explicacion de cada paso de estos ejercicios para entender mejor.