Cual es la ley matemática que respalda esta operación...
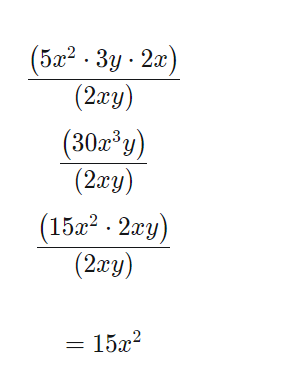
He visto simplificar la expresión siguiente la cual adjunto.
Hay un paso en que el denominador de la fracción (2xy) se mueve hacia el numerador y acto seguido se cancelan como puede ver en la imagen. ¿Cómo se llama el concepto matemático que valida tal operación y cancelación?
Le agradezco su confiable y educada aclaración
Eddy

1 respuesta
Respuesta de albert buscapolos Ing°
3