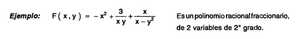
F(x,y) es un polinomio racional fraccionario de 2 variables de 2 grado?

Encontre este ejemplo de polinomio, el problema es que no logro entender, ¿no se supone que un polinomio es toda estructura donde la variable se encuentra en el numerador?
1 respuesta
Respuesta de albert buscapolos Ing°
1