Como se puede resolver este ejercicio de variable aleatoria continua
Sea X una variable aleatoria continua de función de densidad:
F(x) ={0.5 si 0 ≤ x ≤ 2
o en cualquier otro caso
a) Comprobar de que se trata de una verdadera función de densidad.
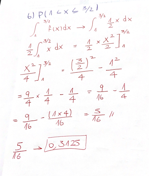
b) Calcular la P(1< X ≤ 1.5).
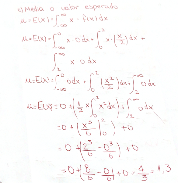
c) Calcular la media de la función de densidad.
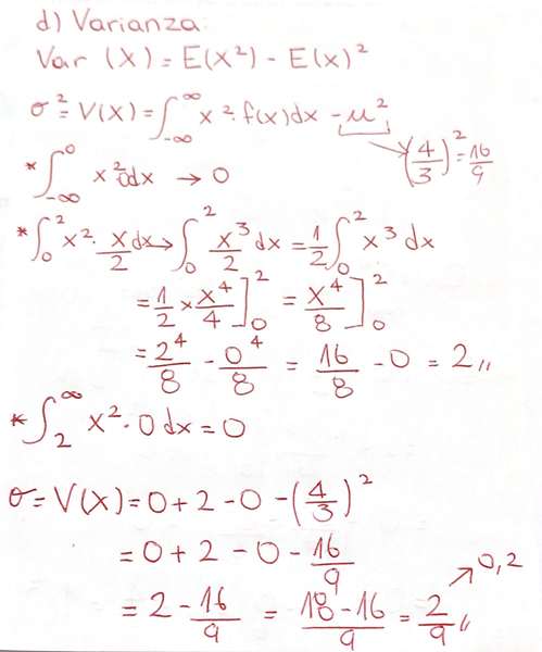
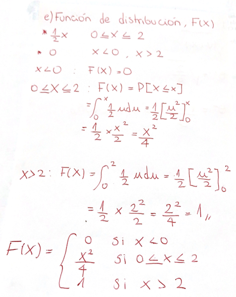
d) Calcular la varianza y la desviación típica de la función de densidad. E) Calcular la función de distribución de X, F(X).
1 respuesta
Respuesta de albert buscapolos Ing°
1





