Procedimiento de las siguientes ecuaciones exponenciales

Ayuda en estos ejercicios necesito el procedimiento y no se como es de resolver

1 respuesta

Respuesta
2

Te dejo el primero

$$\begin{align}&5^{1+2x} + 6^{1+x}=30 + 150^x\\&\frac{5^{1+2x}}{6^{1+x}} + \frac{6^{1+x}}{6^{1+x}}=\frac{30}{6^{1+x}} + \frac{150^x}{6^{1+x}}\\&\frac{5 \cdot 5^{2x}}{6\cdot 6^{x}} + 1=\frac{5\cdot6}{6\cdot 6^{x}} + \frac{(2\cdot 3 \cdot 5^2 )^x}{6\cdot 6^{x}}\\&\frac{5 \cdot 5^{2x}}{6\cdot 6^{x}} + 1=\frac{5}{6^{x}} + \frac{6^x \cdot 5^{2x}}{6\cdot 6^{x}}\\&\frac{5 \cdot 5^{2x}}{6\cdot 6^{x}} + 1=\frac{5}{6^{x}} + \frac{ 5^{2x}}{6}\\&\frac{5 \cdot 5^{2x}}{6\cdot 6^{x}} -\frac{5}{6^{x}} = \frac{ 5^{2x}}{6} - 1\\&\frac{5}{6^{x}} \bigg( \frac{ 5^{2x}}{6}- 1 \bigg)  = \frac{ 5^{2x}}{6} -1\\&\frac{5}{6^{x}} \bigg( \frac{ 5^{2x}}{6}- 1 \bigg)  - \bigg( \frac{ 5^{2x}}{6} -1 \bigg) = 0\\&\bigg( \frac{ 5^{2x}}{6}- 1 \bigg)  \cdot \bigg( \frac{5}{6^{x}} -1 \bigg) = 0\\&\text{Tenemos un producto que está igualado a 0, por lo que alguno de los factores deben ser 0, o sea}\\&\bigg( \frac{ 5^{2x}}{6}- 1 \bigg) =0  \lor \bigg( \frac{5}{6^{x}} -1 \bigg) = 0\\&Caso\ 1\\&\frac{ 5^{2x}}{6}- 1 =0 \\&5^{2x}=6\\&2x=log_5(6)\\&x= \frac{log_5(6)}{2} \\&x= \frac{log(6)}{2 \cdot log(5)} \text{(Este log es en cualquier base)}\\&Caso \ 2\\&\frac{5}{6^{x}} -1=0\\&5 = 6^x\\&x = log_6(5)\\&x=\frac{log(5)}{log(6)}\end{align}$$

Si bien no es parecido, la idea para resolver este ejercicio la saqué de AQUí

Muchas Gracias

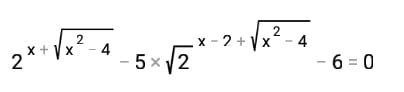
Y del segundo me podría ayudar con el procedimiento por favor.

Al segundo yo lo pensaría como...

$$\begin{align}&2^{x+\sqrt{x^2-4}} - 5 \cdot \sqrt{2}^{x-2+\sqrt{x^2-4}}-6=0\\&Viendo \ que \ 2=\sqrt{2}^2\\&\sqrt{2}^{2^{x+\sqrt{x^2-4}}} - 5 \cdot \sqrt{2}^{x+\sqrt{x^2-4}-2}-6=0\\&\bigg(\sqrt{2}^{{(x+\sqrt{x^2-4}})}\bigg)^2 - 5 \cdot \frac{\sqrt{2}^{(x+\sqrt{x^2-4})}}{\sqrt{2}^2}-6=0\\&\bigg(\sqrt{2}^{{(x+\sqrt{x^2-4}})}\bigg)^2 - \frac{5}2 \cdot \sqrt{2}^{(x+\sqrt{x^2-4})}-6=0\\&\text{Haciendo la sustitución }\sqrt{2}^{{(x+\sqrt{x^2-4}})}=a\\&a^2-\frac{5}2a-6=0\end{align}$$

Intentá seguirlo desde ahí...

Añade tu respuesta

Haz clic para o

Más respuestas relacionadas