Como llenar ejercicios de inecuaciones cuadráticas
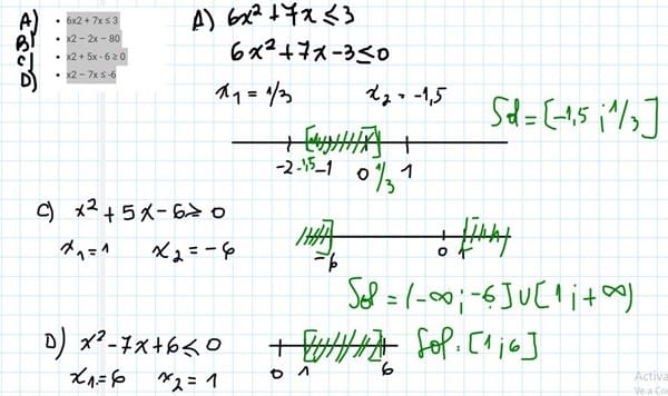
Halla la solución de las siguientes inecuaciones cuadráticas y representarla en la recta numérica.
- 6x2 + 7x ≤ 3
- x2 – 2x – 80
- x2 + 5x - 6 ≥ 0
- x2 – 7x ≤ -6
2 respuestas
Respuesta de albert buscapolos Ing°
1
Respuesta de Matias Ezequiel De Sampaio
1

