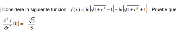
Ej: matemática-Considere la siguiente función f(x)... Pruebe que...
Ejercicio de Matemática:
Considere la siguiente función f(x)... Pruebe que...

2 respuestas
Respuesta de albert buscapolos Ing°
2
Respuesta de Diego Prieto
1