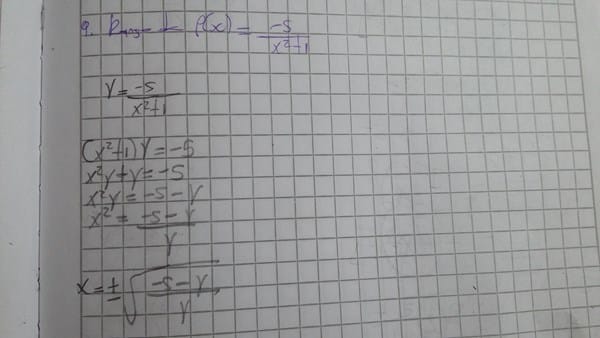
Cual es el rango de esta función racional
estoy tratando de encontrar el rango de esta función: f(x)=-5/(x^2+1)
Voy una parte, que mas sigue para que me dé rango= [ -5,0) Me explican por favor, gracias.

1 Respuesta
Respuesta de albert buscapolos Ing°
1