La empresa XYZ tiene actualmente 3 pagos pendientes dentro de 2, 6 y 10 meses. Para saldar la deuda en un momento concreto, se debe calcular el valor de esos pagos en ese momento concreto. En este caso, dentro de 5 meses (asumiendo que no habrá realizado el pago de los 2 meses).

Para calcular el valor de cada pago a los 5 meses, se deberá capitalizar o descontar el pago según la tasa de interés. En el caso del pago de los 2 meses, se deberá capitalizar hasta los 5 meses, mientras que los pagos de los 6 y 10 meses, se deberán descontar hasta los 5 meses.
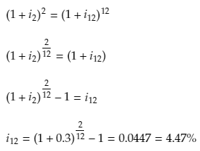
Dado que nos debemos mover entre meses, será necesario obtener la tasa de interés mensual equivalente a la tasa trimestral del 15% con capitalización semestral.
Una tasa trimestral del 15% equivale a una tasa semestral del 30% ya que en un semestre hay dos trimestres. Hemos pasado de trimestral a semestral ya que se menciona que la capitalización es semestral. Es decir, los intereses se calculan cada 6 meses.
Ahora, buscamos la tasa mensual (con capitalización mensual)
$$\begin{align}&i_{12}\end{align}$$
equivalente a esta tasa semestral con capitalización semestral
$$\begin{align}&i_2\end{align}$$

De este modo, la tasa mensual equivalente es 4.47%.
Ahora, utilizando esta tasa, calcularemos el valor de los pagos de 2, 6 y 10 meses a los 5 meses.
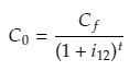
La fórmula utilizada es la de capitalización compuesta:

Donde Cf es el capital final, C0 el capital inicial i12 la tasa mensual y t el número de meses.
En el caso de querer descontar un pago, únicamente se debe aislar C0 en la fórmula anterior:

Si el pago de los 2 meses se realizase en el mes 5, tendría el siguiente valor:

Observa que t toma el valor 3 dado que del mes 2 al 5 hay 3 meses de diferencia.
Los pagos a los 6 y 10 meses tendrían los siguientes valores:

Observa que t toma los valores 1 y 5 ya que del mes 5 al mes 6 y 10 hay 1 y 5 meses de diferencia, respectivamente.
El valor total de los pagos en el mes 5 se obtiene agregando las cantidades:

Y esa es la cantidad que debería pagar el mes 5 para saldar la deuda.