Encuentra alguna solución por tanteo.
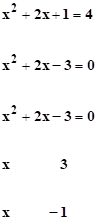
a)x al cuadrado mas 2 x mas 1 igual a 4.
b)x al cuadrado menos 5 x mas 6 igual a 0
c)x/4 mas 8/x igual a 3.
Respuesta de Luis Alberto Candio Salcedo
1
1 respuesta más de otro experto
Respuesta de Rober Chispas


