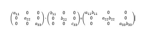
Sean DE y E matrices diagonales en r(3x3)

¿Cómo podría probar que el producto de DE es una matriz diagonal?
1 respuesta
Respuesta
1

¿Cómo podría probar que el producto de DE es una matriz diagonal?