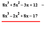
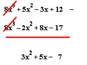
¿Se puede restar dos polinomios, cada uno de grado 3, y que la diferencia sea un polinomio de grado 2?. De ser así, ejemplos por
Resta de polinomios. ¿Se puede restar dos polinomios, cada uno de grado 3, y que la diferencia sea un polinomio de grado 2?. De ser así, proporciona un ejemplo.
1 Respuesta
Respuesta de Luis Alberto Candio Salcedo
1


