¿Como encontrar el volumen del sólido que está debajo del plano?
Por este medio solicito de su amable apoyo para orientarme en como desarrollar el siguiente ejercicio
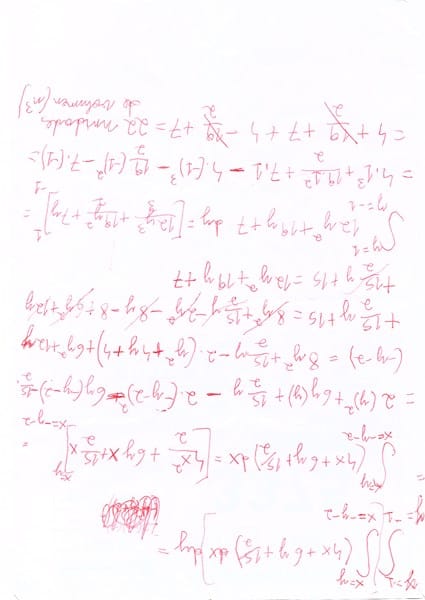
Como encontrar el volumen del sólido que está debajo del plano 4x+6y-2z+15=0 y arriba del rectángulo
$$\begin{align}&R=\{ (x,y) |-1 \le y \le 1, -y-2 \le x \le y \}\end{align}$$
1 respuesta
Respuesta de Eva Garcia Pérez
