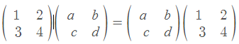
Halle todas las matrices que conmutan con A
$$\begin{pmatrix}1&2\\ \:3&4\end{pmatrix}$$

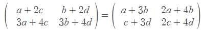
$$\begin{bmatrix}a+2c=a+3b\\ b+2d=2a+4b\\ 3a+4c=c+3d\\ 3b+4d=2c+4d\end{bmatrix}$$Como puedo resolver el anterior sistema de ecuaciones para poder poner la respuesta en términos de matrices poner los valores por así decirlo donde están las x

1 respuesta
Respuesta
1
