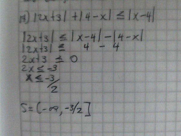
Està bien o mal este ejercicio de desigualdad con tres valor absoluto:

Hice el ejercicio pero no se como me quedò la parte de la resta de los valores absolutos, ¿si es asì?

1 respuesta

Respuesta
1

Desiguala a 0:  |2x+3| + |4-x| - |x-4| ≤ 0;  Hallemos los ceros de cada módulo:

2x+3=0;  2x=(-3); x=(-3/2).

Para x<(-3/2):  -2x-3;  Para x>(-3/2):   2x+3;

4-x=0;  x=4;  Para x<4:  4-x;  Para x>4:  x-4;  (cuidado:  porque x está restando).

x-4=0;  x=4;  Para x<4:  4-x;  Para x>4:  x-4.

*Para x<(-3/2):  (-2x-3) + (4-x) - (4-x) ≤ 0;  -2x≤3;  x≤3/2.  VÁLIDA para x ≤ (-3/2):

*Para el intervalo de x: (-3/2; 4): (2x+3) + (4-x) - (4-x) ≤ 0; 2x≤ -3; x≤ (-3/2); lo que no la hace válida en el intervalo porque el extremo inferior es abierto (observar que el intervalo analizado es: (-3/2 ; 4).

*Para x=4:  2x+3+0≤0;  x≤(-3/2);  inválido porque 4 es mayor que (-3/2);

*Para el intervalo x>4 se da igual a la situación anterior, por lo que tampoco es válido.

Es correcta tu respuesta: (-∞; -3/2).

Podríamos haber simplificado desde el principio:  |2x+3|≤ 0.

Corrijo:  (-∞; -3/2];  interevalo semiabierto.

Muchas gracias, o sea que de la forma que simplifiquè està bien?

Así es.

Añade tu respuesta

Haz clic para o

Más respuestas relacionadas