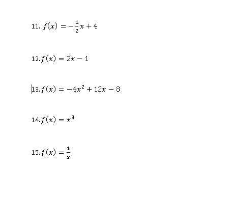
Como puedo graficar las siguientes funciones
Ejercicios funcionales
Como puedo graficar las siguientes funciones:

Respuesta de Hiroshi Kurosawa
1
1 respuesta más de otro experto
Respuesta de albert buscapolos Ing°
1
