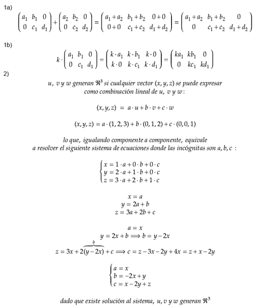
Expertos, su apoyo para mi tarea de Espacios vectoriales.

Son dos preguntas de mi tarea de espacios vectoriales de Álgebra superior.
1 Respuesta
Respuesta de Dani BP
1

