Cálculo de límites, cómo resolverlos
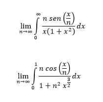
Orientaciones para resolver los siguientes límites, cómo procedo a resolver los polinomios y después los limites

Orientaciones para resolver los siguientes límites, cómo procedo a resolver los polinomios y después los limites
