Preguntas esperando respuesta
Actividad pública reciente
Ha preguntado en el tema en
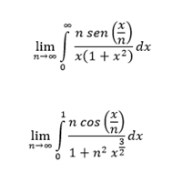
Cálculo
Cálculo de límites, cómo resolverlos
Orientaciones para resolver los siguientes límites, cómo procedo a resolver los polinomios y después los limites
Sin respuestas
Ha preguntado en el tema en
Java
¿Cómo programar en Java la siguiente suma dado un numero n?
La suma es: 1 + 1/1! + 1/2! +1/3! ...+1/n!
Sin respuestas
Ha preguntado en el tema en
Java
¿Cómo programar en java para que "Hola mundo" se repita 30 veces?
Me pueden ayudar con el código para programar en Java para que aparezca en la consola "Hola mundo" 30 veces
Sin respuestas
Ha valorado "Buena" la respuesta
¿Cuál es el algoritmo?
* ------------------------------- */ #include<stdio.h> #include<stdlib.h> #include <iostream> using namespace std; //Procedimiento principal int main() { //Variables int por, factorial, numero; //Solicitamos un número printf("Ingrese numero para...
Ha preguntado en el tema en
C y C++
¿Cómo escribir y ejecutar los siguientes programas en C++?
A) El programa más corto posible (no hace nada). ¿Cuántos caracteres contiene? C) Un programa que despliegue el mensaje \Hola, mundo." (incluyendo la diagonal invertida y las comillas) 30 veces. Lo he intentado con for(int i=0; i<30; i++){...
Sin respuestas
