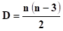
¿Cuántas diagonales pueden trazarse desde todos los vértices en un polígono cuyo angulo central mide 20 grados?
La otra pregunta que tengo es:
¿Cuál es la medida de un angulo interno de un polígono regular de 24 lados?
Respuesta de Luis Alberto Candio Salcedo
1



