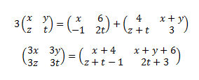
¿Como encuentro el sistema de 4 ecuaciones de estas matrices?

Podrían ayudarme con este problema de álgebra, no lo entiendo.
2 respuestas
Respuesta
1
Respuesta de pamela Charles
-1


