Tengo una duda sobre este problema aritmético
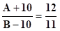
Cuando empiezan a jugar A y B, la relación entre sus capitales es de 10 a 13, respectivamente. Después que A le ha ganado $10 a B, la relación entre los nuevos capitales es respectivamente de 12 a 11. Calcular el capital inicial de cada jugador.
1 respuesta
Respuesta de Luis Alberto Candio Salcedo
2

