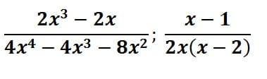
¿Son equivalentes las siguientes fracciones algebraicas?
Me podrían explicar si son equivalentes las siguientes fracciones.
Gracias por su atención.

1 respuesta
Respuesta de albert buscapolos Ing°
1