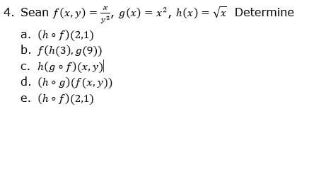
Dearrollar calculo multivariado Sean f(x,y)=x/y^2 , g(x)=x^2, h(x)=√x Determine

Buenas tardes amigos de todo expertos espeor me ayuden con este trabajo
1 respuesta
Respuesta de Lucas m
1