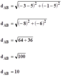
¿A qué distancia se encuentran las siguientes coordenadas?
La distancia entre las coordenadas que se muestran en la siguiente gráfica es:

Respuesta de Jose Rafael Guzman
1
1 respuesta más de otro experto
Respuesta de Luis Alberto Candio Salcedo
1


