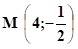
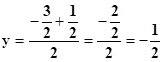
Calcula el punto medio del segmento que tiene por extremos los puntos (1,1/2) y (7,-3/2)
Geometría analítica
Calcula el punto medio del segmento que tiene por extremos los puntos (1, 1/2) y (7, -3/2).
2 respuestas
Respuesta de Luis Alberto Candio Salcedo
1
Respuesta
1

