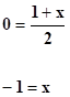
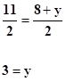
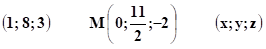
Uno de los puntos extremos de un segmento es (1, 8, 3), si su punto medio es (0,11/2,-2)
Geometría analítica
Uno de los puntos extremos de un segmento es (1, 8, 3), si su punto medio es (0, 11/2, -2). Halla las coordenadas del otro extremo.
1 Respuesta
Respuesta de Luis Alberto Candio Salcedo
1



