Compartamos ideas para un mejor aprendizaje

Algún experto en temas de calculo que me quiera colaborar con estos ejercicios que están un poco duros para mi. Gracias.

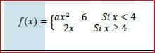
Ejercicio 1

ejercicio 2

1 respuesta

Respuesta
1

Antes debes cambiar la valoración por excelente a ESTA PREGUNTA ya que la misma estaba bien contestada.

Salu2

hola gustavo si ya la valore por excelente y esta es una nueva pregunta gracias

Perfecto!

No aclara que hay que hacer en los ejercicios, pero supongo que es definir el valor de "a", para que la función sea continua

Para que una función sea continua, tiene que coincidir los límites laterales y el valor de la función en el punto, dicho esto veamos...

$$\begin{align}&1)\\&f(4)=f(4^+) = 2\cdot 4 = 8\\&f(4^-) = a\cdot 4^2 - 6=16a-6\\&\text{Como ambos valores deben coincidir, tenemos que}\\&8  = 16a - 6\\&14 = 16a\\&\frac{7}{8}=a\\&---\\&2)\\&f(2^-) = 4\cdot2=8\\&f(2^+)=\frac{3a2^2-4}{4\cdot2-7}=\frac{12a-4}{1}=12a-4\\&\text{Ambos valores deben coincidir, así que:}\\&8=12a-4\\&12=12a\\&a=1\\&\text{En realidad a este ejercicio, para que sea continua le falta definir el valor de f(2), que también debe valer 8}\\&\text{Esto lo puedes hacer simplemente cambiando el } > (o\ <)\ por \ge \ (o\ \le)\end{align}$$

Salu2

Añade tu respuesta

Haz clic para o

Más respuestas relacionadas