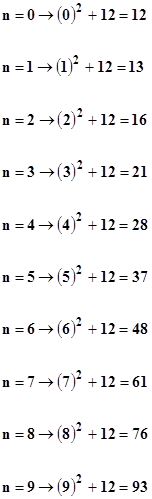
¿Cuales son los primeros 10 términos que se generan por la expresión n2+12?
Me ayudarían mucho con este problema, es de mi guía de tercer grado.
1 respuesta
Respuesta de Luis Alberto Candio Salcedo
1

