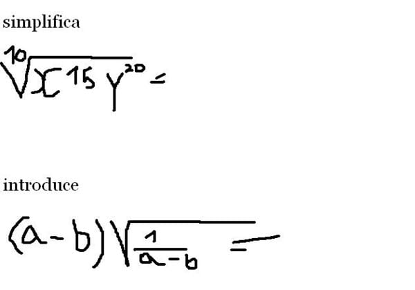
No encuentro la repuesta a estos problemas

Ya intente mucho buscar el resultado pero ninguno es el correcto.
1 respuesta
Respuesta de albert buscapolos Ing°

Ya intente mucho buscar el resultado pero ninguno es el correcto.