¿Cómo desarrollar el problema en lenguaje algebraico?

1. Resuelve el siguiente problema para ello desarrolla el procedimiento e incorpora su solución.

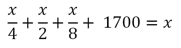
Planteamiento del problema: En la casa de Ana, los gastos se administran de la siguiente manera:

a) La cuarta parte del salario es para alimentos y gastos de la casa.

b) La mitad de su salario es para la renta.

c) Una octava parte de su salario se gasta en sus pasatiempos.

d) Y ahorra $ 1,700.

e) ¿Cuál es el salario de Ana?

1 respuesta

Respuesta

Ponle nombre a la incognital, que en este caso es el salario de Ana. Llámale POR y ve escribiendo lo que te dice:

Suma un cuarto de por, más un medio de por, más un octavo de por y súmale lo que le sobra. Esta suma te dará el salario de Ana, que es X. Luego despeja la incógnita y resuelve.

A ver si te ha servido.

Maldito corrector... donde pone POR, poner X

No te entiendo muy bien, me confundí. ME podrías poner el ejemplo de la ecuación mejor por favor

Despeja y resuelve a ver si Ana gana 13600 $

Añade tu respuesta

Haz clic para o

Más respuestas relacionadas