Calculo integral , aplicación de las integrales
La región limitada por la gráfica de y=x³, el eje x y
x=1/2 se gira alrededor del eje x. Hallar el área de la superficie lateral
del sólido resultante.
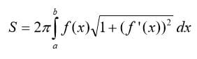
Tener en cuenta que: El área lateral (excluyendo los extremos) del sólido resultante es
