¿Cómo resolver este ejercicio de álgebra?
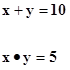
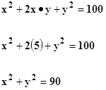
Si Si x+y=10; xy=5, Calcular x^2+y^2
$$\begin{align}&x+y=10; xy=5, Calcular x^2+y^2\end{align}$$
1 Respuesta
Respuesta de Luis Alberto Candio Salcedo
1


