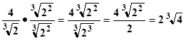
Al racionalizar la empresion se obtiene
$$\begin{align}&racionalizar \\&4\over\sqrt[3]{2}\end{align}$$
1 respuesta
Respuesta de Luis Alberto Candio Salcedo
1

