Hallar la ecuación de la elipse con centro en cero, cero
Esta pregunta esta ligada a la anterior,
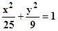
- ... Y la condición es
2a = 10 F(4,O)
1 Respuesta
Respuesta de Luis Alberto Candio Salcedo
1

