Ecuación de la recta que interseca al eje Y ademas tiene una pendiente de - 6?
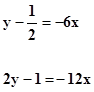
¿Cuál es la ecuación de la recta con pendiente -6 e interseca al eje Y en
$$\begin{align}&(0, {1\over2})\end{align}$$$$\begin{align}&A) \ \ \ x- y - 3 = 0\\&\\&B) \ \ \ x - 2y - 12 = 0\\&\\&C)\ \ \ 12x + 2y - 1= 0\\&\\&D) \ \ \ 12x +2y + 1 = 0\\&\end{align}$$
1 respuesta
Respuesta de Luis Alberto Candio Salcedo
1

