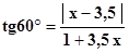
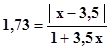
Si una recta tiene pendiente 3.5, ¿Qué pendiente debe tener aproximadamente una segunda recta para que formen un ángulo de 60º ?
A) 1.36 ó -2.03
B) -0.747 ó 0.75
C) -1.03 ó 0.25
D) -2.092 ó 1.16
1 respuesta
Respuesta de Luis Alberto Candio Salcedo
1


