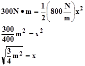
¿Cuánto se debe estirar un resorte de k=800N/m, para que el cuerpo posea una energía potencial elástica de 300J?
Datos:
resorte k=800N\m
Ep = 300J
Incognita
k= ?
...
1 respuesta
Respuesta de Luis Alberto Candio Salcedo
1

