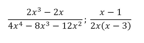
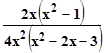
¿Son equivalentes estas fracciones algebraicas?
Me podrían decir si son equivalentes e incluir el procedimiento para comprobarlas, muchas gracias.

2 respuestas
Respuesta de Luis Alberto Candio Salcedo
1
Respuesta
1


