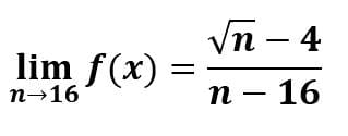
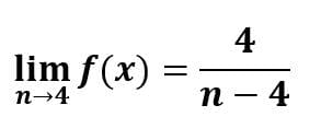
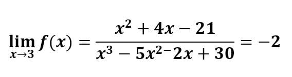
Desarrolla en un documento de procesador de textos, la solución de las siguientes funciones:


Nota: En caso de que no se pueda realizar, explica las razones.
3. En el mismo archivo que elaboraste el procedimiento anterior, tabula y gráfica con un rango para el eje x de -8 a 9, cada una de las siguientes funciones:

http://148.247.220.212/c4/pluginfile.php/10264/mod_assign/intro/formulas2-02.svg
2 respuestas
Respuesta de Lucas m
1
Respuesta
1
