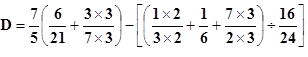
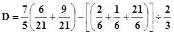
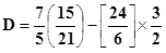
17- Tengo un problema diezsiete matemática

Diecisiete Diecisiete Diecisiete Diecisiete Diecisiete Diecisiete Diecisiete Diecisiete
1 respuesta
Respuesta de Luis Alberto Candio Salcedo
1



