¿Cómo resuelvo este ejercicio? Casos de factoreo
Quería saber como resuelvo el siguiente ejercicio

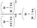
acá esta la respuesta

1 Respuesta
Respuesta de Luis Alberto Candio Salcedo
1





